CNN
출력크기 구하기

입력의 채널이 여러개인 경우, 각각의 채널에 Convolution연산을 한 후 결과를 합한다.
그래서 출력은 다음과 같아진다.

출력을 텐서로 만들고 싶다면, 아래와 같이 커널을 여러개 만들면 된다.

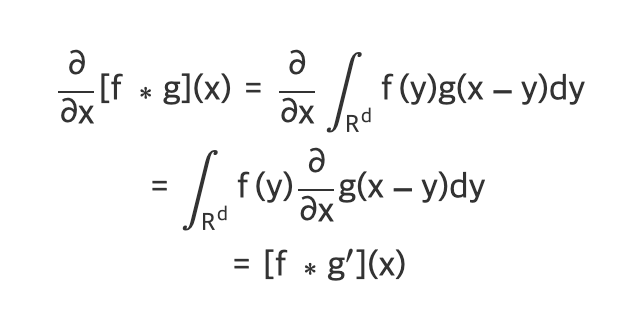
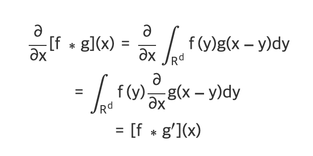
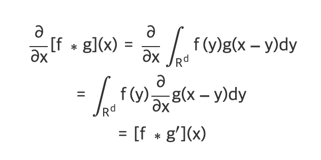
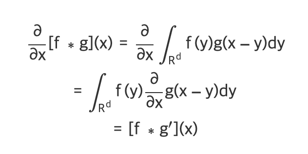
CNN의 역전파

RNN
시퀀스 데이터 다루기
시퀀스 데이터는 아래와 같이 이전 X가 발현했을때, 다음 X가 나올 확률로 규정할 수 있다.

매번 모든 X의 값을 나열하기 어려우니 Xt-2~X1의 값을 Ht로 묶는다.
Ht는 Xt-2~X1의 값들을 인코딩한 값 AR모델이다. (아직은 AR 모델을 이해하기 어려움.. 그냥 이전 값들을 대표하는 값으로 생각하기로..)

참고
'프로그래밍 > 부스트캠프 AI' 카테고리의 다른 글
| DKT - EDA 해보기 (1) | 2023.05.06 |
|---|---|
| [level1] preprocess 최적화 (캐싱) (0) | 2023.04.16 |
| Day 4 - AI Basic (0) | 2023.03.09 |
| Day 3 - pandas (0) | 2023.03.08 |
| Day 2 - 파이썬 oop 및 데이터 다루기 (0) | 2023.03.07 |