벡터
벡터는 공간에서 한 점을 나타냄

벡터의 노름
벡터의 노름은 원점에서부터 거리를 의미함
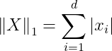
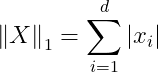
L1 노름은 절댓값의 합으로 표현한다.

L2 노름은 유클리드 거리를 계산함.

# 직접 구현
def l2_norm(x):
x_square = x * x
x_sum = np.sum(x_square)
x_norm = np.sqrt(x_num)
return x_norm
# np.linalg.norm 사용 (줄여서 LA.norm이라고도 하는 듯.)
np.linalg.norm(x, 2) # 뒤에 들어가는 인자는 l2노름임을 의미한다.
행렬
행렬은 벡터를 원소로 가지는 2차원 배열.
- 벡터를 공간에서 한 점이라고 한다면, 행렬은 여러 점들을 나타낸다고 할 수 있다.
- 벡터를 다른 차원의 공간으로 보내는 연산자로 이해 할 수 있다.

유사역행렬 = 무어-펜로즈 역행렬
행과 열의 숫자가 같고 행렬식이 0이 아닌 경우에만 역행렬을 구할 수 있다.
역행렬을 구할 수 없을땐 유사 역행렬을 구하면 된다.
아래와 같이 구할 수 있다.

# numpy에서 구할 수 있다.
numpy.linalg.pinv(X)
이를 통해 어떤 연립 방정식도 풀 수 있다.


경사하강법
함수의 미분을 구해, 미분값이 0에 도달하는 지점을 찾는 방법이다.

아래와 같은 코드로 간단히 표현 할 수 있다.
grad = gradient(x) # 기울기
while abs(grad) > eps: # eps는 용인할 수 있는 최고 기울기
x = x - lr * grad # lr은 학습률 (너무 작으면 학습이 오래 걸리고, 너무 크면 학습이 잘 안된다.)
grad = gradient(x)
변수가 여러개라면?
변수가 벡터일때는 편미분을 구해서 풀이한다.
각각 벡터 원소의 편미분을 구한 벡터를 그레디언트 벡터라고 한다.

선형회귀 계수 구하기
선형회귀의 목적은 오차를 줄이는 것으로 오차는 다음과 같이 표현할 수 있다.

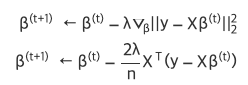
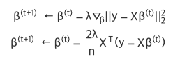
오차 L2노름을 선형회귀 목적식으로 하면 다음과 같은 그레디언트 벡터를 구할 수 있다.

풀어보면, Xβ를 계수 β에 대해 미분하면 X^T가 나온다는 것을 알수도 있다.

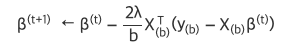
그래서, 목적식을 최소화 하는 과정은 다음과 같다.

코드로 다음과 같이 나타낼 수 있다.
for t in range(T):
err = y - X @ beta
grad = - X.T @ err
beta = beta - lr * grad
선형회귀는 역행렬을 구하지 않고도 해를 찾을 수 있게 도와준다.
하지만, 미분 가능하고 볼록한 함수에 대해서만 답을 찾을 수 있다는 한계가 있다.
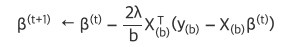
확률적 경사 하강법 (Stochastic Gradient Descent)
데이터의 일부만 가지고 변수를 업데이트하는 기법이다.
볼록이 아닌 목적식에 적합할 수 있다.

전체 데이터에서 미니배치(X(b), y(b))를 뽑아 학습한다.
데이터의 개수가 줄어서 연산량도 줄어든다.

신경망
신경망도 행렬의 연산으로 표현할 수 있다.
아래와 같다.

시그마(σ)는 활성함수를 의미하며 활성함수에는 sigmoid, tanh, ReLU가 있다.
소프트맥스
소프트맥스 연산은 벡터의 값을 확률로 변환해준다.
예컨데 아래와 같은 식이다.
V = [1,2,1]
softmax(V) = [0.25, 0.5, 0.25]
이 값으로 신경망 모델의 출력을 확률로 표현할 수 있게 된다.
또, 분류문제 같은 경우는 one hot 연산을 이용해 가장 큰 값만 구할 수 있다.
V = [1,2,1]
one_hot(V) = [0, 1, 0]
소감
오늘은 멘토님을 만나뵙게 되어 좋았다.
다음주에 멘토님의 인생에 대해 말씀해주신다고 해서 기대하고 있다.
그리고 단톡방을 만들었는데, 팀원들과 좀 더 친해질 수 있을 것 같다.
AI Math를 수강하며 원래 알고있던 내용도 보충할 수 있었고,
내가 놓친 부분을 다른 캠퍼 분들이 집어주셔서 좋았다.
'프로그래밍 > 부스트캠프 AI' 카테고리의 다른 글
| DKT - EDA 해보기 (1) | 2023.05.06 |
|---|---|
| [level1] preprocess 최적화 (캐싱) (0) | 2023.04.16 |
| Day 5 - CNN, RNN (0) | 2023.03.11 |
| Day 3 - pandas (0) | 2023.03.08 |
| Day 2 - 파이썬 oop 및 데이터 다루기 (0) | 2023.03.07 |